砥砺奋进结硕果 踔厉奋发谱新篇——我院2025届毕业生专升本考试再创佳绩
发布时间:2025-09-20 21:59:56
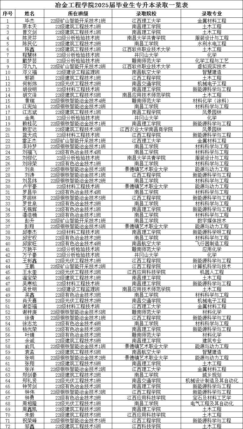
砥砺奋进结硕果 踔厉奋发谱新篇。我院2025届毕业生在江西省2025年普通高校专升本考试中表现出色,捷报频传,共有72名同学成功圆梦本科学校。

这些喜人的成绩,既是我院学子焚膏继晷、勇攀高峰的奋斗见证,更是学院深化教育教学改革、构建全员育人体系的成果体现,凝聚了各级领导、专业老师、辅导员以及广大毕业生的心血与汗水。
谨向所有升本成功的同学致以热烈祝贺!愿这些即将开启新征程的学子们继续保持昂扬向上的拼搏精神,在更广阔的舞台上绽放光彩;也期待在校学子以优秀学长学姐为榜样,用汗水浇灌梦想,以实干笃定前行,在青春的赛道上跑出当代青年的最好成绩!

我要评论 (网友评论仅供其表达个人看法,并不表明本站同意其观点或证实其描述)
全部评论 ( 条)